
导读:
近期,华中科技大学胡先罗教授开发了由羟基磷灰石和纤维素纳米纤维组成的复合隔膜的,它与离子液体电解质的兼容性,以及它在高性能电池中的潜在应用。相关研究成果以“An easily degradable composite separator with high affinity to
ionic-liquid-based electrolytes for safe Li-ion batteries”为题目,发表于期刊《Materials Today Physics》上。
本文要点:
1、设计并制备了一种由羟基磷灰石和纤维素纳米纤维组成的复合隔膜,具有高润湿性和离子导电性,适用于离子液体电解质的安全锂离子电池。
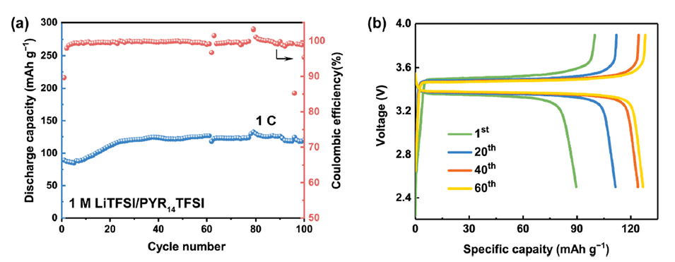
2、在室温下,使用该隔膜的LiFePO4/Li半电池表现出卓越的循环性能,容量约130 mAh g-1。在80°C下,该隔膜也能够实现稳定的电池性能。
3、此外,该隔膜还在钠离子和锌离子电池中取得成功。该复合隔膜易于降解,是传统聚烯烃基隔膜的环保替代品,适用于下一代电池。
一图读懂全文:

使用离子液体电解质在电池中的优势包括:
在高温下尤其稳定和安全。 蒸汽压极低,不易燃,降低电池燃烧风险。 宽电压范围,可实现更广泛的操作。 低毒性,更环保。 有潜力作为未来能源系统中的“绿色”溶剂。
复合隔膜具有以下主要特性和性能:
1、润湿性:它对碳酸盐和离子液体电解质都具有很高的润湿性,低接触角和高电解质吸收能力。
2、离子电导率:该分离器对各种电解质具有良好的离子电导率,在室温下对离子液体电解质的离子电导率为29 mS cm-1。
3、热稳定性:复合隔膜热稳定,在80°C下具有出色的可循环性,适用于电池的高温操作。

图1:(a, b) 700◦C热处理后HAP纤维的SEM图像;(c) 700◦c处理HAP纤维的XRD谱图;(d) HAP /BC隔膜的数码照片和(e)扫描电镜图像;(f) HAP纤维和过滤后的HAP/BC隔膜的FTIR光谱。(g)不同温度下PP(上图)和HAP/BC分离器(下图)的红外热像图。

图2 PP和HAP/BC隔膜的电解质润湿性和电导率比较。

图3 用IL电解质(PYR14TFSI中1 M LiTFSI)制备LFP/Li半电池的室温电化学性能。

图4 在80◦C下,HAP/BC隔膜的高温性能。

图5 PP和HAP/BC隔膜的降解试验。

图6 HAP/BC隔膜在其他离子电池中的电化学性能。
Copyright © 2023 专业的静电纺丝设备服务商-15年纳米纤维静电纺丝机生产设备装置厂家,北京永康乐业科技发展有限公司 苏ICP12345678 XML地图
静电纺丝机, 静电纺丝设备, 高压静电纺丝机, 静电纺丝厂家, 静电纺丝量产, 纳米纤维, 静电纺丝纳米纤维,实验室静电纺丝设备,静电纺丝装置价格,纳米纤维静电纺丝机, 静电纺丝纤维膜,静电纺丝实验装置,静电纺丝生产设备,纳米静电纺丝机