研究背景:
聚合物复合电介质具有高能量密度、高效率和高温稳定性等优点,在各种电动汽车和电力系统中应用需求很高。然而,如何设计同时有利于极化和击穿强度的高性能纳米填料,是一个主要挑战。

鉴于此,清华大学南策文院士团队林元华教授采用静电纺丝和煅烧技术,制备了具有稳定Bi2Ti2O7型焦绿石相的高熵诱导陶瓷纳米纤维。相关研究成果以“High-Entropy-Nanofibers Enhanced Polymer Nanocomposites for High-Performance Energy Storage”为题目发表于期刊《Advanced Energy Materials》上。
本文要点:
本文研究了一种新型高熵纳米纤维增强聚合物纳米复合材料,用于高性能能量存储应用。
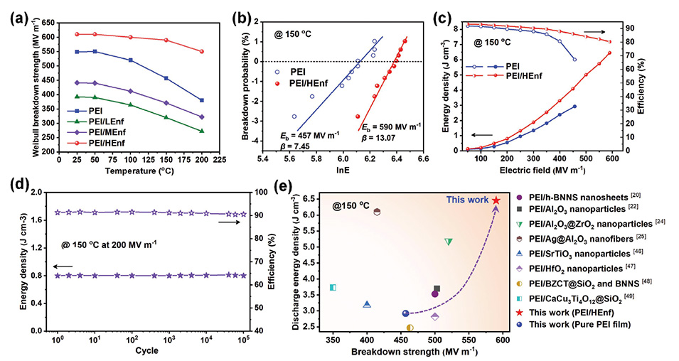
通过控制纳米结构和界面工程,成功提高了材料的介电常数和击穿强度,从而实现了高能量密度和优异的热稳定性。
在150°C的590 MV m−1的电场下,达到46 J cm−3的高能量密度,优于大多数报道的PEI复合材料。
这些性能使得该材料在高温环境下仍能保持稳定性,为下一代电动汽车和航空航天电源系统提供了新的解决方案。
什么是高熵纳米纤维?
高熵纳米纤维是一种采用熵工程方法设计的无机纳米填料。该方法涉及将多种元素以等摩尔比例引入材料中,从而形成高度无序和独特的微观结构。在本研究中,高熵纳米纤维采用Zr、Hf和Sn的组合设计,发现其具有稳定的线性闪烧石相和相对较高的介电常数。

图1:可控构型高熵陶瓷纳米纤维的制备工艺及形貌表征。
高熵陶瓷纳米纤维的制备过程:
所有的纳米填料都是通过静电纺丝法和煅烧工艺制备的,从而得到1D陶瓷纳米纤维,如图1a所示。
1、将无机材料溶解于助溶剂中,得到了一种稳定的静电纺丝前驱体溶液。为了保证前驱体溶液的可纺性,使用了浓度为8wt %的聚乙烯吡咯烷酮(PVP, Mw = 130 W)。
2、按设定参数静电纺丝后,得到了结构随机分布的前驱体纳米纤维。
3、前驱体纳米纤维在空气中以2°C min - 1的速率在600°C下煅烧,使PVP全部分解,从而得到不同晶体结构的陶瓷纳米纤维。

图2:纳米纤维的晶体结构表征。

图3 PEI复合材料的形貌表征及介电性能。
高熵纳米纤维如何增强聚合物纳米复合材料的性能?
当将这些纳米纤维添加到聚合物基质中时,它们科研有效地提高复合材料的介电常数和击穿强度,从而实现了更高的能量密度。此外,高熵纳米纤维还提高了聚合物纳米复合材料的热稳定性,使其适用于高温应用。总的来说,采用高熵纳米纤维是开发高性能聚合物纳米复合材料用于能量存储应用的一种有前途的方法。

图4 室温下PEI复合材料的储能性能。

图5:PEI复合材料的高温储能性能。
结论:
在本研究中,作者证明了从非线性铁电Bi4Ti3O12相到线性Bi2Ti2O7型焦绿石相的熵诱导相变,即在高熵纳米纤维中实现了热力学不稳定的焦绿石相。高熵填料的线性介电特性使其能够有效地提高PEI的储能性能。具体来说,PEI/HEnf复合材料在150°C下的性能优于当前的PEI复合材料,并且在105次循环充放电过程中表现出优异的可靠性。更重要的是,本研究提供了一种可行的熵工程策略来控制陶瓷的晶相、晶粒尺寸和微缺陷,从而为高性能介电聚合物纳米复合材料的合理设计提供了指导。
原文链接:https://doi.org/10.1002/aenm.202203925
Copyright © 2023 专业的静电纺丝设备服务商-15年纳米纤维静电纺丝机生产设备装置厂家,北京永康乐业科技发展有限公司 苏ICP12345678 XML地图
静电纺丝机, 静电纺丝设备, 高压静电纺丝机, 静电纺丝厂家, 静电纺丝量产, 纳米纤维, 静电纺丝纳米纤维,实验室静电纺丝设备,静电纺丝装置价格,纳米纤维静电纺丝机, 静电纺丝纤维膜,静电纺丝实验装置,静电纺丝生产设备,纳米静电纺丝机