
导读:
不断升级的环境危机和水资源短缺需要创新的水净化和海洋溢油回收战略。基于此,西南石油大学何毅教授等人开发了一种可持续的太阳能驱动MXene/PVDF复合纳米纤维膜,用于复杂环境下的油/盐水分离和蒸馏。相关研究成果以“Sustainable solar-driven MXene/polyvinylidene fluoride composite nanofiber membrane for oil/saltwater separation and distillation in the complex environment”为题目,发表在期刊《Journal of Water Process Engineering》上。
本文要点:
1、这项研究通过静电纺丝技术开发了一种可持续的太阳能驱动MXene/PVDF复合纳米纤维膜,用于复杂环境下的油/盐水分离和蒸馏。
2、MXene纳米片和PVDF在纳米纤维膜中相互作用,展现出卓越的光热性能,可用于高效的油水分离和淡化处理。
3、由于优越的疏水性和光热转换效率,MXene/PVDF纳米纤维膜的油通量为9 L·m−2·h−1(重力驱动),重质矿物油通量为1018.7 L·m−2·h−1。同时,该膜对重矿物油/盐水的截留率超过99%。
4、重要的是,它们在恶劣环境(酸性、碱性、高能紫外线)下保持稳定性和性能。疏水性PVDF纳米纤维膜有效地保护了嵌入的MXene纳米片不被氧化。
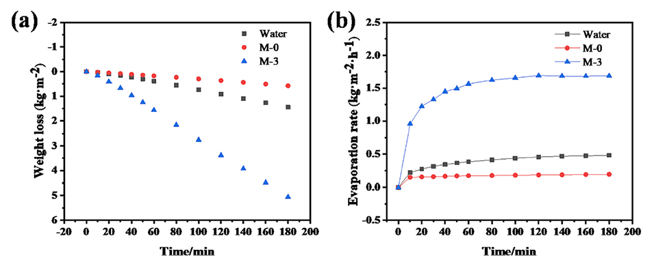
5、特别是在1个太阳光照下,光热MXene/PVDF纳米纤维膜的表面温度很快达到2℃,在1小时内蒸发速率达到1.56 kg·m−2·h−1。
在纳米纤维膜合成过程中,如何实现MXene纳米片和聚偏氟乙烯的集成?
通过静电纺丝技术实现了MXene纳米片与聚偏氟乙烯(PVDF)在纳米纤维膜合成过程中的集成。
1、首先,MXene在N2保护下分散在N,N-二甲基甲酰胺(DMF)中,然后在70℃下将PVDF溶解在分散体中。
2、然后将丙酮加入到分散液中以形成均匀的静电纺丝溶液。该溶液被装入注射器,并以特定的流速和电压静电纺到集电极表面,从而形成含有MXene和PVDF成分的纳米纤维。PVDF纳米纤维膜中MXene纳米片的存在对于提高膜的性能至关重要,如表面粗糙度、疏水性和光吸收能力。
这种整合过程允许MXene和PVDF在纳米纤维膜中发挥协同效应,使其在油水分离和海水淡化应用中具有独特的性能。

图1 MXene/PVDF纳米纤维膜制备示意图。
MXene纳米片和聚偏氟乙烯如何在纳米纤维膜中协同作用进行油/水分离?
MXene纳米片和聚偏氟乙烯(PVDF)在纳米纤维膜中协同工作,通过其独特的性能组合实现高效的油/水分离。PVDF基质具有疏水性、化学稳定性和抗吸水性,有助于疏水和促进油的通过。另一方面,MXene纳米片提高了膜的表面粗糙度,增强了膜的疏水性和亲油性。这些特性的结合使膜能够选择性地允许油通过,同时排斥水,从而实现有效的油水分离。此外,MXene纳米片作为太阳能吸收器和能量转换器,产生光热特性,有助于膜在油/水分离和脱盐方面的性能。

图2 (a) M-0, (b) M-2, (c) M-3, (d) M-2的TEM图像。

图3 M-2膜的OCA和水附着力。

图4 采用(a)-(b)重力驱动、(c)真空过滤装置和(d)自制吸油装置制备膜的油通量。

图5 油盐分离脱盐装置原理图。

图6 不同压力下M-0和M-2膜的截留率。

图7 (a)重量损失和(b)在1个太阳照射下水分随时间的蒸发速率。
原文链接:https://doi.org/10.1016/j.jwpe.2023.104571
Copyright © 2023 专业的静电纺丝设备服务商-15年纳米纤维静电纺丝机生产设备装置厂家,北京永康乐业科技发展有限公司 苏ICP12345678 XML地图
静电纺丝机, 静电纺丝设备, 高压静电纺丝机, 静电纺丝厂家, 静电纺丝量产, 纳米纤维, 静电纺丝纳米纤维,实验室静电纺丝设备,静电纺丝装置价格,纳米纤维静电纺丝机, 静电纺丝纤维膜,静电纺丝实验装置,静电纺丝生产设备,纳米静电纺丝机